丢失的数字
题目描述
给定一个包含 [0, n] 中 n 个数的数组 nums ,找出 [0, n] 这个范围内没有出现在数组中的那个数。
示例1:
输入:nums = [3,0,1]
输出:2
解释:n = 3,因为有 3 个数字,所以所有的数字都在范围 [0,3] 内。2 是丢失的数字,因为它没有出现在 nums 中。
示例 2:
输入:nums = [0,1]
输出:2
解释:n = 2,因为有 2 个数字,所以所有的数字都在范围 [0,2] 内。2 是丢失的数字,因为它没有出现在 nums 中。
方法一:数学
将从 0 到 n 的全部整数之和记为 total,根据高斯求和公式,有:total = n(n+1)/2
将数组 nums 的元素之和记为 arrSum,则 arrSum 比 total 少了丢失的一个数字,因此丢失的数字即为 total 与 arrSum 之差。或者不断减去数组中的元素也是一样的。
int missingNumber(vector<int>& nums) {
int n = nums.size();
int total = n * (n + 1) / 2;
int arrSum = 0;
for (int i = 0; i < n; i++) {
arrSum += nums[i];
}
return total - arrSum;
}方法二:位运算
数组 nums 中有 n 个数,在这 n 个数的后面添加从 0 到 n 的每个整数,则添加了 n+1 个整数,共有 2n+1 个整数。
在 2n+1 个整数中,丢失的数字只在后面 n+1 个整数中出现一次,其余的数字在前面 n 个整数中(即数组中)和后面 n+1 个整数中各出现一次,即其余的数字都出现了两次。
根据出现的次数的奇偶性,可以使用按位异或运算得到丢失的数字。按位异或运算 ⊕ 满足交换律和结合律,且对任意整数 x 都满足 x⊕x=0 和 x⊕0=x。
由于上述 2n+1 个整数中,丢失的数字出现了一次,其余的数字都出现了两次,因此对上述 2n+1 个整数进行按位异或运算,结果即为丢失的数字。
int missingNumber(vector<int>& nums) {
int res = 0;
int n = nums.size();
for (int i = 0; i < n; i++) {
res ^= nums[i];
}
for (int i = 0; i <= n; i++) {
res ^= i;
}
return res;
}方法三:排序
将数组排序之后,即可根据数组中每个下标处的元素是否和下标相等,得到丢失的数字。
由于数组的长度是 n,因此下标范围是 [0,n−1]。假设缺失的数字是 k,分别考虑以下两种情况:
(1)当 0≤k<n 时,对任意 0≤i<k,都有 nums[i]=i,由于 k 缺失,因此 nums[k]=k+1,k 是第一个满足下标和元素不相等的下标;
(2)当 k=n 时,0 到 n−1 都没有缺失,因此对任意 0≤i<n,都有 nums[i]=i。
根据上述两种情况,可以得到如下方法得到丢失的数字:
(1)从左到右遍历数组 nums,如果存在 0≤i<n 使得 nums[i]≠i,则缺失的数字是满足 nums[i]≠i 的最小的 i;
(2)如果对任意 0≤i<n,都有 nums[i]=i,则缺失的数字是 n。
int missingNumber(vector<int>& nums) {
sort(nums.begin(),nums.end());
int n = nums.size();
for (int i = 0; i < n; i++) {
if (nums[i] != i) {
return i;
}
}
return n;
}方法四:哈希集合
使用哈希集合,可以将时间复杂度降低到 O(n)。
首先遍历数组 nums,将数组中的每个元素加入哈希集合,然后依次检查从 0 到 n 的每个整数是否在哈希集合中,不在哈希集合中的数字即为丢失的数字。由于哈希集合的每次添加元素和查找元素的时间复杂度都是 O(1),因此总时间复杂度是 O(n)。
int missingNumber(vector<int>& nums) {
unordered_set<int> set;
int n = nums.size();
for (int i = 0; i < n; i++) {
set.insert(nums[i]);
}
int missing = -1;
for (int i = 0; i <= n; i++) {
if (!set.count(i)) {
missing = i;
break;
}
}
return missing;
}方法五:异或改进
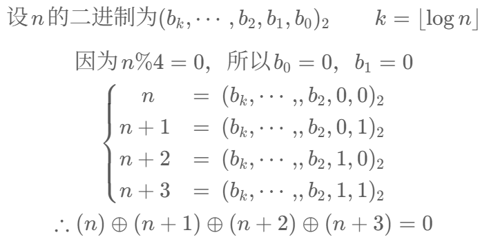
首先证明(n)⊕(n+1)⊕(n+2)⊕(n+3)=0,其中(n≡0(mod4))
先来观察一组数字,{0,1,2,3}
00⊕01⊕10⊕11=0,
对于任意由{n,n+1,n+2,n+3},其中(n≡0(mod4)),是否有同样的关系?

运用上述性质解答
对于本题中的n个数字,先补充k个数字(值分别为n+1,…,n+k),使得(n+k)≡3(mod4),然后对所有值求异或即为解。
int missingNumber(vector<int>& nums) {
int res = 0;
int n = nums.size();
for (int i = 0; i < n; i++) {
res ^= nums[i];
}
int k = 0;
while((n + k)% 4 != 3){
k ++;
res ^= (n + k);
}
return res;
}